ÉCOULEMENTS INSTATIONNAIRES : DEVELOPPEMENTS RECENTS ET APPLICATIONS
La 59ème Conférence Internationale 3AF d’Aérodynamique Appliquée, organisée à Strasbourg du 24 au 26 mars, avait pour thème central les Écoulements Instationnaires : développements récents et applications. Soutenue par la Région Grand Est, le Laboratoire ICube de l’Université de Strasbourg et l’ONERA, cette édition a rassemblé cent dix participants provenant de seize pays, pour explorer les avancées technologiques et leurs applications dans des secteurs clés comme l’aérospatial (civil et militaire), les transports et l’énergie.
Les cinq conférences pilotes et les cinquante- neuf exposés répartis en douze sessions ont mis en lumière l’importance des écoulements instationnaires, qui influencent la stabilité, le bruit et les performances des aéronefs et hélicoptères, ainsi que l’efficacité des systèmes de propulsion, où les interactions dynamiques impactent la consommation, la résistance mécanique et la durabilité. Ces phénomènes concernent aussi des applications stratégiques, des missiles aux lanceurs spatiaux, en passant par des véhicules terrestres soumis à des conditions extrêmes.
Les conférenciers ont souligné le double enjeu de ces écoulements : un défi pour la conception et la modélisation, mais aussi une opportunité d’optimisation, grâce aux progrès en simulation numérique haute fidélité et en méthodes expérimentales. L’utilisation croissante du calcul haute performance (HPC), des algorithmes hybrides (RANS/LES) et de techniques comme la vélocimétrie par image de particules (PIV) ou la vélocimétrie laser Doppler (LDV) permet désormais d’étudier ces phénomènes avec une précision inédite.
Hommage à Laurent Jacquin
La conférence s’est ouverte sur un hommage rendu par Denis Sipp (ONERA) à Laurent Jacquin [1959-2024], figure majeure de l’aérodynamique. Ses travaux, menés sur plus de trois décennies, ont profondément marqué la discipline. Parmi ses contributions majeures, on retiendra notamment :
- Interaction jet/tourbillon de sillage (1996-2007) : campagnes de mesures par LDV pour caractériser les mécanismes de mélange et de déstabilisation des jets.
- Écoulements en cavité (1999-2013) : analyses fines des instabilités et des phénomènes de résonance des cavités.
- Tremblement transsonique d’aile (2000-2016) : base de données de référence internationale, incluant des mesures LDV conditionnées par la pression.
- Turbulence dans les jets subsoniques (1986–2020) : exploration de la dynamique et de la transition.
L’hommage a rappelé que son approche combinait rigueur expérimentale et vision théorique.
Conférence Pilote n°1 - A. Le Pape (ONERA) a exposé les défis de l’aérodynamique instationnaire des voilures tournantes, incluant les interactions tourbillons-pales, le décrochage dynamique et les flux transsoniques. Les aéronefs électriques à décollage et atterrissage vertical (ADAVe / eVTOL) et la mécanique des rotors nécessitent un couplage fluide-structure (CSD/CFD) précis. Malgré l’efficacité des simulations CFD, leurs limites persistent en turbulence, transition et maillage. De nouvelles méthodes émergent pour l’acoustique, mais la validation des modèles dépend toujours de données expérimentales fiables.
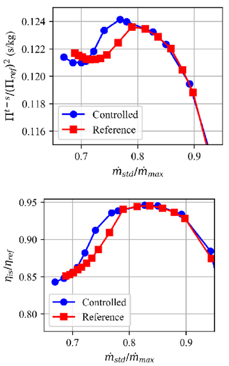
Session 1A - Voilures tournantes – Parmi les présentations de cette première session, une étude de Safran / École Centrale de Lyon a montré que l’ajout de trous de contrôle passif situés à la fois sur le moyeu et le carter d’un diffuseur radial, reliant ainsi les canaux entre les aubes entre eux, permet de retarder le décrochage et d’améliorer la stabilité d’un compresseur TURBOCEL de Safran Helicopters.
Compresseur TURBOCEL
Rapport de pression et rendement isentropique fonctions du débit massique.
Crédit : SAFRAN / École Centrale Lyon
Session 1B - Techniques de mesure – L’étude expérimentale menée par TU-Berlin a présenté un capteur de frottement pariétal calorimé- trique bidimensionnel, capable de mesurer à la fois l’amplitude et la direction des fluctuations de frottement. Testé derrière une marche descendante à Re = 15 000, ce capteur a livré des résultats cohérents et ouvre des perspectives prometteuses pour l’analyse des écoulements instationnaires à basse vitesse.
Frottement instantané en aval d’une marche descendante - Crédit : TU-Berlin
Session 1C – Voilures adaptatives - Un prototype de voilure adaptative, inspiré du modèle A320, a été étudié par l’IMFT et le Laboratoire LAPLACE. Les recherches ont combiné des simulations des structures cohérentes Organised-Eddy-Similation (OES) et des expérimentations utilisant des actionneurs piézo électriques à fibres composites. Ces actionneurs génèrent des ondes progressives appliquées à la surface de la voilure, formant ainsi une paroi électro- active capable de contrôler l’interaction entre l’onde de choc et la couche limite (SBLI), tout en réduisant le phénomène de buffeting.
Les résultats obtenus montrent une réduction de la traînée pouvant atteindre 1,64 %, ainsi qu’une amélioration du rapport portance/traînée d’environ
+2 %, notamment lorsque les ondes sont appliquées
dans une zone optimisée (pour x/c Є [0,514;0,686]).
Simulation des structures cohérentes (OES) et dispositif expérimental
Crédit : IMFT / LAPLACE
Conférence pilote n°2 – La conférence présentée par J. Crouch (Boeing) portait sur l’utilisation de l’analyse de stabilité globale (GSA), une méthode basée sur la linéarisation des équations de Navier- Stokes autour de solutions RANS stationnaires. Cette approche permet d’identifier précocement les modes instables (croissance, fréquence et forme spatiale) à un coût de calcul comparable à celui des simulations RANS classiques.
Son application au tremblement transsonique illustre l’efficacité de la méthode : sur des ailes infinies, le tremblement résulte d’une instabilité oscillatoire globale, tandis que sur des ailes en flèche, un mode instable supplémentaire à large bande apparaît. La GSA s’avère ainsi un outil puissant pour prédire le déclenchement d’instabilités et guider la conception aérodynamique.
Session 2A – Système propulsif – L’Imperial College a étudié l’écoulement instationnaire dans un conduit carré, représentant le circuit de refroidissement d’un avion à pile à combustible à hydrogène placé dans le sillage d’une hélice.
Les instabilités ont été caractérisées par des mesures PIV résolues en temps. L’étude conclut que l’amplification de ces instabilités pourrait, d’une part, améliorer le transfert de chaleur pour un refroidissement plus efficace, mais aussi, d’autre part, provoquer un sur-refroidissement local susceptible d’endommager la pile à combustible.
Session 2B – Décollement laminaire et transition - ISAE-SUPAERO a analysé la dynamique des bulles de séparation laminaire sur des profils NACA0012 à faible nombre de Reynolds en présence de rafales. Les résultats montrent que les rafales longitudinales jouent un rôle critique, tout en étant mal anticipées par les modèles analytiques classiques.
Ces observations soulignent l’importance d’intégrer dans ces modèles analytiques, les effets instationnaires et les effets de sillage et de gradient de pression longitudinal dans la modélisation de la portance.
Session 2C – Analyse avancée du champ d’écoulement – L’ONERA présente une méthode innovante pour quantifier la perte d’énergie due aux ondes de choc dans les écoulements aérodynamiques. L’objectif principal est de distinguer les pertes liées aux ondes de choc des autres pertes irréversibles, et ce sans nécessiter de frontière claire entre ces phénomènes.
L’étude fournit une dérivation complète de l'équation de bilan d'énergie présentée comme plus robuste pour gérer les interactions critiques dans des systèmes aérodynamiques complexes comme les turbomachines.
Par exemple, les ondes de choc se formant au niveau des aubages fixes du redresseur (OGV) dans les conditions d’écoulement bloqué (cf. figure de droite) sont généralement exclues de l’intégration par la méthode standard de calcul de l’anergie des ondes de choc, car elles se situent dans le sillage des aubes de la soufflante. En revanche, la méthode proposée les prend en compte.
Taux de compression max (gauche), Ecoulement bloqué (droite) - Crédit : ONERA
Conférence pilote n°3 - La troisième conférence pilote, présentée par Olivier Cadot (Université de Liverpool), a exploré la bistabilité des sillages derrière les véhicules et corps émoussés. Ce phénomène conduit à une asymétrie stable du sillage et à des forces latérales permanentes. Cette instabilité peut se manifester selon différentes orientations (verticale ou latérale).
Des expériences et simulations LES ont permis d’analyser la topologie du sillage et les mécanismes de réattachement. Ces travaux ouvrent des perspec- tives pour la réduction de traînée par contrôle actif du sillage, avec un potentiel estimé à environ 5 %. Les résultats sont transposables non seulement aux automobiles, mais aussi aux drones, taxis volants et hélicoptères.
Session 3A – Automobile - L’Université Paris- Saclay utilise des simulations numériques directes (DNS) pour analyser la dynamique des fluctuations de pression au-dessus d’une marche montante, en comparant les régimes laminaire et turbulent.
La décomposition orthogonale aux valeurs propres (POD) a été employée pour analyser les modes de vitesse et de pression. Les résultats montrent que la turbulence renforce la cohérence spatio-temporelle et le couplage entre les fluctuations de pression et de vitesse. En régime turbulent, les structures de pression sont plus grandes, plus cohérentes et mieux corrélées aux modes de vitesse. La turbulence semble simplifier la dynamique des fluctuations, avec
des implications pour le contrôle des écoulements décollés.
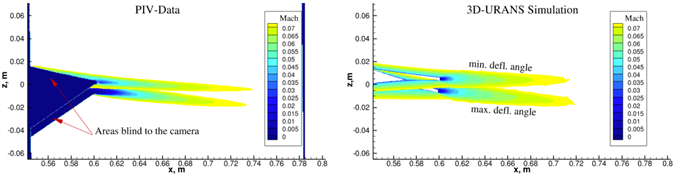
Session 3B – Charges aérodynamiques de tremblement et de rafale - L’étude du DLR porte sur l’utilisation de déflexions rapides des gouvernes pour l’allègement des charges aérodynamiques. Les chercheurs ont combiné des simulations numériques en domaine fréquentiel linéarisé (LFD) et Navier- Stokes instationnaires (URANS) avec des essais en soufflerie sur une maquette d’aile DLR-F15.
L’objectif était de valider la précision d’un solveur LFD pour modéliser les réponses instationnaires. Les résultats montrent une bonne concordance entre les prédictions 3D du solveur et les données expérimentales, confirmant que le solveur LFD est un outil précis et efficace pour la prédiction des réponses aérodynamiques des systèmes d'allègement de charge.
Evaluation PIV et simulation 3D URANS pour une oscillation du volet à 6 Hz à M=0,1
Crédit : DLR
Conférence pilote n°4 - Lors de sa conférence, J. Huber (Airbus) a présenté un panorama sur le bruit des avions, enjeu majeur pour l’acceptabilité des opérations aériennes et fortement encadré par les réglementations internationales (OACI : -0,6dB / an). Airbus a déjà considérablement réduit le bruit de ses avions, grâce à des technologies telles que les Sharklets, les moteurs à fort taux de dilution ou encore l’optimisation aérodynamique de l’A350. Les principales sources identifiées sont le moteur, la cellule et le train d’atterrissage. La stratégie d’Airbus repose sur l’identification et la réduction des sources dominantes, l’intégration de nouvelles technologies, la simulation aéroaccoustique haute-fidélité et de solides partenariats de recherche.
Session 4A – Aéroaccoustique - L'étude aéroaccoustique du train d'atterrissage LAGOON, menée par Dassault-Sytemes Deutschland, a recours à des simulations numériques basées sur le solveur Lattice-Boltzmann Power-FLOW pour modéliser le bruit généré. Les chercheurs ont comparé la géométrie d'une roue lisse à une version modifiée avec des dispositifs physiques de déclenchement de transitions, démontrant que ces derniers sont cruciaux pour prédire avec précision les composantes de bruit à basse fréquence. Les résultats révèlent que les principales sources sonores sont attribuables aux résonances dans les cavités des roues et aux interactions avec la turbulence. Ces travaux contribuent à une meilleure compréhension des sources de bruit aérodynamique complexes pour les configurations de train d'atterrissage.
Puissance acoustique en surface par bande de fréquence par la méthode de FWH
Crédit : Dassault-Systemes Deutschland
Session 4B – Écoulements à grande vitesse – L’Institut Saint-Louis (ISL) a étudié l’influence de l’angle d’attaque sur l’écoulement autour d’un cylindre équipé d’une pointe conique à Mach 3. L’objectif est de réduire la traînée générée par le choc frontal.
Les résultats montrent que la traînée est considérablement réduite lorsque la pointe transforme le choc frontal en choc oblique. L’écoulement peut basculer entre un mode de pulsation et un mode d’oscillation (le plus efficace).
La longueur de la pointe (30 à 40 mm) et l’angle d’attaque (de -8° à +9°) influencent la transition entre ces modes.
Visualisation des gradients de densité par méthode Schlieren - Crédit : ISL
Une optimisation avec contrainte de stabilité réduit la traînée de 6,5 %, seule option d’après l’ISL pour augmenter la portée de manière fiable.
Conférence pilote n°5 – G. Dimitriadis (Université de Liège) a présenté des méthodes rapides pour l’aérodynamique instationnaire et la prédiction du flottement des avions subsoniques et transsoniques. La méthode des réseaux de doublets (DLM), développée dans les années 1960, reste privilégiée pour son faible coût et sa simplicité, bien qu’elle néglige l’épaisseur et le vrillage des ailes.
Pour améliorer sa précision en régime transsonique, des corrections basées sur des simulations Euler ou RANS sont appliquées, permettant des prévisions fiables jusqu’à Mach 0,9. Enfin, la méthode des panneaux sources et doublets (SDPM) a été évoquée comme une alternative plus réaliste, discrétisant la géométrie complète.
Session 5A – Interaction fluide-structure - Georgia Tech a présenté une étude sur le contrôle des charges aérodynamiques via un système de prélèvement/ soufflage d’air actif et instationnaire (ADB). L’objectif est de modifier les charges sur les ailes sans utiliser de surfaces mobiles traditionnelles.
Ce système exploite les différences de pression naturelles pour faire circuler un flux d’air à travers des orifices sur les surfaces de l’aile. Il nécessite moins de puissance et offre un temps de réponse plus rapide que les gouvernes conventionnelles.
Des essais sur une maquette d’aile ont montré une augmentation de la portance de 11 % en écoulement stationnaire, jusqu’à 25 % en écoulement pulsé, confirmant l’efficacité de l’ADB pour la stabilisation et les manœuvres.
Champ d'écoulement autour d'un profil aérodynamique en tangage dynamique :
sans contrôle (gauche), avec contrôle actif (droite)
Crédit : GeorgiaTech
Session 5B – Modélisation d’écoulement instationnaire – Le DLR a présenté l’implémentation de méthodes de type Rosenbrock pour les simulations d’écoulement instationnaire. Ces méthodes, plus simples à implémenter que les méthodes implicites Runge-Kutta, ont été testées en DNS, LES et URANS.
Les résultats montrent que les schémas de Rosenbrock d’ordre 2 sont suffisamment précis lorsqu’ils sont combinés à une méthode aux volumes finis d’ordre 2. En particulier, le schéma ROS2 a démontré une meilleure performance et précision que la formule BDF2, surpassant systématiquement les schémas similaires.
Enfin les activités menées par l'ONERA sur la configuration NOVASPIRE dans le cadre du programme européen Clean Sky 2 ont été présentées. Cette configuration, représentative d'un avion civil équipé d'un moteur à très fort taux de dilution (UHBR) sous voilure, est modélisée en détail, avec une représentation complète d'éléments clés tels que la soufflante en rotation, les aubages fixes du redresseur (OGV), les dispositifs hypersustentateurs en conditions de décollage. Les simulations instationnaires URANS ont été réalisées pour reproduire fidèlement les interactions complexes entre le moteur et la cellule de l'avion, qui sont particulièrement importantes avec les moteurs UHBR. Le travail a démontré la faisabilité de simulations numériques aussi complexes, permettant de valider l'approche pour analyser les effets d'installation de la nouvelle génération d'avions.
Vue de la configuration NOVASPIRE (haut), moteur et hypersustentateur (centre),
Assemblage de maillage Chimère (bas) - Crédit : ONERA
CONCLUSION
La conférence AERO2025 a confirmé que la maîtrise des écoulements instationnaires constitue un enjeu scientifique, technologique et industriel majeur pour les décennies à venir.
Les exposés ont montré le rôle central de la synergie entre expérimentation et simulation ; la nécessité de modèles multiéchelles et multifidélités ; l’apport du HPC et de l’intelligence artificielle pour accélérer la conception et l’importance croissante des enjeux environnementaux et sociétaux (réduction du bruit, efficacité énergétique, fiabilité).
Enfin, la diversité des applications — de l’hélicoptère aux projectiles supersoniques, des ailes adaptatives aux véhicules terrestres — illustre la transversalité de l’aérodynamique instationnaire.
La communauté réunie lors d’AERO2025 s’accorde sur le fait que les défis sont encore nombreux, mais que les outils numériques et expérimentaux désormais disponibles offrent une base solide pour
répondre aux enjeux.

Aucun commentaire
Vous devez être connecté pour laisser un commentaire. Connectez-vous.