News
UNSTEADY FLOWS : RECENT DEVELOPMENTS AND APPLICATIONS
The 59th 3AF International Conference on Applied Aerodynamics, held in Strasbourg from March 24 to 26, focused on Unsteady Flows: Recent Developments and Applications. Supported by the Grand Est Region, the ICube Laboratory of the University of Strasbourg, and ONERA, this edition brought together 110 participants from 16 countries to explore technological advances and their applications in key sectors such as aerospace (civil and military), transportation, and energy.
The five pilot lectures and fifty-nine presentations, divided into twelve sessions, highlighted the importance of unsteady flows, which influence the stability, noise, and performance of aircraft and helicopters, as well as the efficiency of propulsion systems, where dynamic interactions impact fuel consumption, mechanical strength, and durability. These phenomena also concern strategic applications, from missiles and space launch vehicles to ground vehicles subjected to extreme conditions.
The speakers highlighted the dual challenge posed by these flows: a challenge for design and modelling, but also an opportunity for optimization, thanks to advances in high-fidelity numerical simulation and experimental methods. The increasing use of high-performance computing (HPC), hybrid algorithms (RANS/LES), and techniques such as particle image velocimetry (PIV) and laser Doppler velocimetry (LDV) now makes it possible to study these phenomena with unprecedented precision.
Tribute to Laurent Jacquin
The conference opened with a tribute by Denis Sipp (ONERA) to Laurent Jacquin [1959-2024], a major figure in aerodynamics. His work, spanning more than three decades, profoundly influenced the discipline. Among his major contributions, the following stand out:
- Jet/wake vortex interaction (1996-2007): LDV measurement campaigns to characterize jet mixing and destabilization mechanisms.
- Cavity flows (1999-2013): detailed analyses of instabilities and resonance phenomena in cavities.
- Transonic wing shake (2000-2016): international reference database, including pressure-conditioned LDV measurements.
- Turbulence in subsonic jets (1986–2020): exploring dynamics and transition.
The tribute recalled that his approach combined experimental rigor and theoretical vision.
Keynote Lecture #1 - A. Le Pape (ONERA) presented the challenges of unsteady rotary-wing aerodynamics, including vortex-blade interactions, dynamic stall, and transonic flows. Electric vertical take-off and landing (eVTOL) aircraft and rotor mechanics require accurate fluid-structure interaction (CSD/CFD). Despite the effectiveness of CFD simulations, their limitations persist in turbulence, transition, and meshing. New methods are emerging for acoustics, but model validation still depends on reliable experimental data.
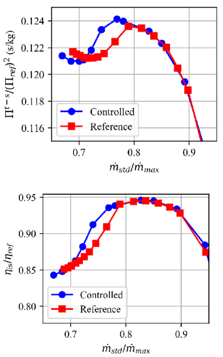
Session 1A - Rotorcraft – Among the presentations of this first session, a study by Safran / École Centrale de Lyon showed that the addition of passive control holes located both on the hub and the casing of a radial diffuser, thus linking the channels between the blades together, makes it possible to delay stalling and improve the stability of a TURBOCEL compressor from Safran Helicopters.
TURBOCEL Compressor
Pressure ratio and isentropic efficiency as functions of mass flow rate.
Credit: SAFRAN / École Centrale Lyon
Session 1B - Measurement Techniques – The experimental study conducted by TU-Berlin presented a two-dimensional calorimetric wall friction sensor capable of measuring both the amplitude and direction of friction fluctuations. Tested behind a backward-facing step at Re = 15,000, this sensor delivered consistent results and opens promising perspectives for the analysis of unsteady, low-speed flows.
Instantaneous friction downstream of a backward-facing step - Credit: TU-Berlin
Session 1C – Adaptive Wings – A prototype adaptive wing, inspired by the A320 model, was studied by IMFT and the LAPLACE Laboratory. The research combined Organized-Eddy-Simulation (OES) coherent structure simulations and experiments using composite fiber piezoelectric actuators. These actuators generate traveling waves applied to the wing surface, thus forming an electroactive wall capable of controlling the interaction between the shock wave and the boundary layer (SBLI), while reducing buffeting.
The results obtained show a reduction in drag of up to 1.64%, as well as an improvement in the lift-to-drag ratio of approximately 2%, particularly when waves are applied in an optimized area (for x/c ∈ [0.514;0.686]).
Simulation of coherent structures (OES) and experimental setup
Credit: IMFT / LAPLACE
Keynote Lecture #2 – The conference presented by J. Crouch (Boeing) focused on the use of Global Stability Analysis (GSA), a method based on the linearization of the Navier-Stokes equations around steady RANS solutions. This approach allows for the early identification of unstable modes (growth, frequency, and spatial shape) at a computational cost comparable to that of classical RANS simulations.
Its application to transonic buffeting illustrates the method's effectiveness: on infinite wings, buffeting results from a global oscillatory instability, while on swept wings, an additional broadband unstable mode appears. GSA thus proves to be a powerful tool for predicting the onset of instabilities and guiding aerodynamic design.
Session 2A – Propulsion Systems – Imperial College studied unsteady flow in a square duct, representing the cooling circuit of a hydrogen fuel cell aircraft placed in the wake of a propeller.
The instabilities were characterized by time-resolved PIV measurements. The study concludes that amplifying these instabilities could, on the one hand, improve heat transfer for more efficient cooling, but also, on the other hand, cause local overcooling that could damage the fuel cell.
Session 2B – Laminar Separation and Transition – ISAE-SUPAERO analysed the dynamics of laminar separation bubbles on low Reynolds number NACA0012 airfoils in the presence of gusts. The results show that longitudinal gusts play a critical role, while being poorly predicted by classical analytical models.
These observations highlight the importance of integrating unsteady effects and wake and longitudinal pressure gradient effects into these analytical models in lift modelling.
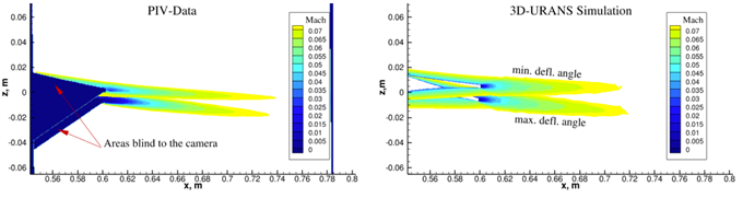
Session 2C – Advanced Flow Field Analysis – ONERA presents an innovative method for quantifying energy loss due to shock waves in aerodynamic flows. The main objective is to distinguish shock wave losses from other irreversible losses, without requiring a clear boundary between these phenomena.
The study provides a complete derivation of the energy balance equation presented as more robust for handling critical interactions in complex aerodynamic systems such as turbomachinery.
For example, shock waves forming at the fixed blades of the stator (OGV) under blocked flow conditions (see figure on the right) are generally excluded from integration by the standard method for calculating shock wave anergy, because they are in the wake of the fan blades. In contrast, the proposed method takes them into account.
Maximum compression ratio (left), Blocked flow (right) - Credit: ONERA
Keynote Lecture #3 - The third pilot conference, presented by O. Cadot (University of Liverpool), explored the bi-stability of wakes behind blunt vehicles and bodies. This phenomenon leads to a stable asymmetry of the wake and permanent lateral forces. This instability can manifest itself in different orientations (vertical or lateral).
Experiments and LES simulations have enabled the analysis of wake topology and reattachment mechanisms. This work opens prospects for drag reduction through active wake control, with an estimated potential of approximately 5%. The results are applicable not only to ground vehicules, but also to drones, flying taxis, and helicopters.
Session 3A – Automotive - The University of Paris-Saclay uses direct numerical simulations (DNS) to analyse the dynamics of pressure fluctuations above an upward step, comparing laminar and turbulent regimes.
Orthogonal decomposition to eigenvalues (POD) was used to analyse velocity and pressure modes. The results show that turbulence strengthens the spatio-temporal coherence and coupling between pressure and velocity fluctuations. In turbulent flow, pressure structures are larger, more coherent, and better correlated with velocity modes. Turbulence appears to simplify the dynamics of the fluctuations, with implications for the control of separated flows.
Session 3B – Aerodynamic Loads from Buffeting and Gusts – The DLR study focuses on the use of rapid control surface deflections to reduce aerodynamic loads. Researchers combined linearized frequency domain (LFD) and unsteady Navier-Stokes (URANS) numerical simulations with wind tunnel tests on a DLR-F15 wing model.
The objective was to validate the accuracy of an LFD solver for modelling unsteady responses. The results show good agreement between the solver's 3D predictions and experimental data, confirming that the LFD solver is an accurate and efficient tool for predicting the aerodynamic responses of load-reduction systems.
Acoustic power at surface per frequency band using the FWH method
Credit: Dassault-Systemes Deutschland
Session 4B – High-speed flows – The French German Research Institute of Saint-Louis (ISL) studied the influence of the angle of attack on the flow around a flat-faced cylinder equipped with spike nose at Mach 3. The objective is to reduce the drag generated by the bow shock.
The results show that drag is significantly reduced when the spike transforms the bow shock into an oblique shock. The flow can switch between a pulsation mode and an oscillation mode (the most efficient).
The length of the spike (30 to 40 mm) and the angle of attack (from -8° to +9°) influence the transition between these modes.
Visualization of density gradients using the Schlieren method
with different spike lengths and an angle of attack of a = -9° - Credit: ISL
An optimization with a stability constraint reduces drag by 6.5%, the only option according to the ISL to reliably increase range.
Keynote Lecture #5 – G. Dimitriadis (University of Liège) presented rapid methods for unsteady aerodynamics and flutter prediction of subsonic and transonic aircraft. The doublet network method (DLM), developed in the 1960s, remains preferred for its low cost and simplicity, although it neglects wing thickness and twist.
To improve its accuracy in transonic regime, corrections based on Euler or RANS simulations are applied, allowing reliable predictions up to Mach 0.9. Finally, the panel source and doublet method (SDPM) has been mentioned as a more realistic alternative, discretizing the complete geometry.
Session 5A – Fluid-Structure Interaction – Georgia Tech presented a study on aerodynamic load control using an active and unsteady air intake/exhaust (ADB) system. The goal is to modify wing loads without using traditional moving surfaces.
This system exploits natural pressure differences to circulate airflow through vents on the wing surfaces. It requires less power and offers a faster response time than conventional control surfaces.
Tests on a wing mock-up showed an increase in lift of 11% in steady flow, up to 25% in pulsed flow, confirming the effectiveness of ADB for stabilization and manoeuvres.
Flow field around an airfoil in dynamic pitch: uncontrolled (left),
with active control (right) - Credit: Georgia Tech
Session 5B – Unsteady Flow Modelling – The DLR presented the implementation of Rosenbrock-type methods for unsteady flow simulations. These methods, simpler to implement than implicit Runge-Kutta methods, were tested in DNS, LES, and URANS.
The results show that second-order Rosenbrock schemes (ROS2) are sufficiently accurate when combined with a second-order finite volume method. In particular, the ROS2 scheme demonstrated better performance and accuracy than the second-order backward differentiation (BDF2) formula, consistently outperforming similar schemes.
Finally, the activities carried out by ONERA on the NOVASPIRE configuration within the framework of the European Clean Sky 2 program were presented. This configuration, representative of a civil aircraft equipped with an underwing ultra-high bypass ratio (UHBR) engine, is modelled in detail, with a complete representation of key elements such as the rotating fan, the fixed ogive vanes (OGV), and the high-lift devices during take-off. URANS unsteady simulations were performed to faithfully reproduce the complex interactions between the engine and the aircraft airframe, which are particularly important with UHBR engines. This work demonstrated the feasibility of such complex numerical simulations, validating the approach for analysing the installation effects of the new generation of aircraft.
View of the NOVASPIRE configuration (top), engine and high-lift device (center),
Chimera mesh assembly (bottom) - Credit: ONERA
CONCLUSION
The AERO2025 conference confirmed that the mastering of unsteady flows constitutes a major scientific, technological and industrial challenge for the coming decades.
The presentations highlighted the central role of synergy between experimentation and simulation; the need for multiscale and multi-fidelity models; the contribution of high-performance computing (HPC) and artificial intelligence to accelerate design; and the growing importance of environmental and societal issues (noise reduction, energy efficiency, reliability).
Finally, the diversity of applications — from helicopters to supersonic projectiles, from adaptive wings to ground vehicles — illustrates the cross-sectorial nature of unsteady aerodynamics.
The community gathered at AERO2025 agrees that many challenges remain, but that the numerical and experimental tools now available offer a solid foundation to address these challenges.

No comment
Log in to post comment. Log in.